Searching for clusters of entities
A cluster is a group of entities that have more connections to each other than to entities outside the group. Finding clusters is useful in charts that contain high volumes of data with many interlinked entities to find potential groupings such as key players in a criminal investigation.
About this task
As part of the search process, Analyst's Notebook measures how interconnected each group of entities is. This measure of interconnectivity is known as the binding strength.
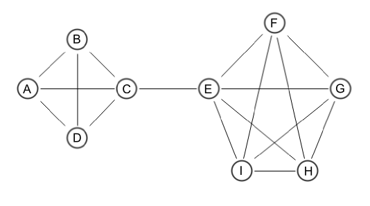
The method that Analyst's Notebook uses to calculate binding strength is based on link connectivity. In its simplest form, this method considers the binding strength of a group of entities to be the number of links that must be deleted to split the group into two distinct chart fragments. For example, the binding strength of the chart in the following diagram is 1. To split it into two, you need to delete only the single link between Entity C and Entity E.

Splitting the chart identifies two chart fragments. To identify clusters Analyst's Notebook continues to split the groups of entities, until it can no longer divide the chart any further. It assigns the highest binding strength that it can to each item during the process. Any connected group of entities that has a binding strength greater than its immediate neighbors is considered to be a cluster. In this chart, Analyst's Notebook finds two clusters, one with a binding strength of three (entities A, B, C, and D) and the other with a binding strength of four (entities E, F, G, H, and I). You can filter clusters by specifying a binding strength threshold. Any cluster with a binding strength below the threshold is not reported. In the example, if the binding strength threshold is set to three, both clusters are reported. If the threshold is raised to four, Analyst's Notebook reports only the cluster with a binding strength of four.
Every group of connected entities has a binding strength; the higher the binding strength, the more interconnected the entities. Link connectivity clusters cannot overlap, so entities cannot belong to more than one cluster.
Procedure
- Click the Analyze tab.
- Optional: 
To modify or review the search criteria, in the Find
Networks group, click . The Setup Clusters window opens.
- To search for clusters, in the Find Networks group, click .
What to do next
To emphasize any clusters that are found, you can change the color or line width of the links in each cluster. To format the links in a cluster, select all the links in the cluster, right-click on one of the links, then click Combined Properties. In the Edit Chart Items window, you can collectively format the links.

